(一)两级式逆变器控制——前级Boost电路控制技术(开环)

写在前面的话
去年9月,习主席在联合国大会上宣布:中国二氧化碳排放2030年前达峰、2060年前实现碳中和。在碳中和背景下的“新石油”,光伏将会是未来能源发展的第一主角!
然而当前国内的教学平台设备陈旧,封装过于封闭,抽象。接线复杂凌乱,设备笨重,体积大,易损坏。当今教学需要高度透明化,精简化以及轻便化,固纬电子同高校合作共同研发的PTS实验平台应运而生,收获了大批高校、学者的喜爱,目前与之合作的高校有上海交通大学、四川大学、上海电力大学等一批国家重点高校,电力高校的喜爱。
为了使学生可以快速学习掌握新兴的光伏发电技术并且快速熟悉本公司代理的固纬产品,固纬电子针对新能源技术做出了全面的实验教学课程。本次我们所讲解的PEK-550模块是一个三相升压逆变光伏并网系统,是一个完整的独立性小型发电并网系统仿真。PEK-550模块的电路图及实物图如下:



PEK-550
Boost升压电路原理讲解:
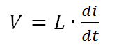
在电感两端接一个直流电源,由于电感电流满足:
因此,电感电流就会正比例增加。我们如果将负载串联电感,根据电感电流不会发生突变的特点电感电流将会流过负载,这样就可以通过控制电感电流来间接控制输出电压的大小,从而起到电力变换的效果。其中主电路图如下:

开关管Q_5在一个开关周期的导通与关断,使Boost电路有2种工作模式分析过程如下:
工作模态一:开关管Q_5开通,二极管D反向截止,输入电压U_in给输入电感L_f充电,电感两端承受的电压为U_in大于零,流经电感的电流线性增加。输出电压由滤波电容C_b独自承担,电压下降。
工作模态二:开关管Q_5关断、二极管D导通,此时电感的电压是〖(U〗_in-U_o)小于零,电感电流线性减小。此时输入电压U_in和电感L_f共同向负载电阻提供能量,且向滤波电容C_b提供能量,电容电压增加。
Boost直流变换器工作模式通常为连续工作模式和断续工作模式,为了减小电感电流的电流尖峰,以及数字控制采样的局限性,通常使直流变换器Boost电路工作在连续模式下。
电路的参数计算:
Boost主电路的技术指标:直流输入电压U_in为100V,输出电压U_o为200V,输出功率P_o为500W,开关频率f_s为20kHz。主电路设计参数主要为滤波电感的设计,输出电容的确定。
滤波电感L计算:
通常情况下,滤波电感的选择须确保在最小的负载情况下,电感电流仍工作在临界模式。在电感电流连续的状态下,可推导Boost的输出电压U_o和输入电压U_in的式子:
假设Boost变换器的效率为90%,负载在10%的额定载下工作于临界模式,则根据功率平衡得:
ILf为临界模式下的电感电流的平均值。
定义电感电流的纹波系数为:
式中ΔILf为电感电流纹波得峰值。
在临界模式下电感电流纹波系数,因此由上式可得:
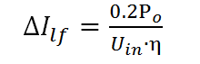
根据电感电压和电流的关系,可得电感电流纹波峰值为:
故:
计算得:
滤波电容计算方法:
由于前级Boost的输出滤波电容恰好是两级式逆变器的母线电容。母线电容的大小和后级输出功率,母线电压,二次纹波电压的大小有关。具体关系如下:
本文设计输出功率为500W,二次纹波角频率为314,母线电压为200V,在本文确定二次纹波电压为2%的母线电压,由式(2-11)可计算出直流母线电容为:
实验结果:

输出电压波形如上图所示,我们可以清晰得看出输出电压是可以达到200V的升压效果的。由于我们直接采用的方波信号作为开关管的触发信号,因此才会出现较大的超调量。

上图是电感电流的波形。电感电流也是符合理论值的5A额定值,上下的纹波较小且未出现断续的状态。
总结:本文介绍了Boost电路的仿真电路的开环设计,通过仿真我们可以发现仿真结果出现较大的超调量,这个可以通过闭环控制来进行调节。在后续的推送中我们将继续Boost电路的设计与问题讨论解决。欢迎大家继续关注。
未 完 待 续



